Printed Flexible Electronics THz neaSCOPE+s

Printed Flexible Electronics

In this study, nanoTHz-TDS was essential for examining the electronic properties of perovskite materials at the nanoscale, offering a powerful non-contact method to probe carrier mobility and dynamics.

The results showed variations in conductivity between different nanocrystals, highlighting how grain boundaries and defects influence charge transport. These measurements provided detailed insights into the behavior of free carriers, showing that despite the heterogeneous nature of the material, charge transport efficiency was maintained across most grains. This insight is critical for improving the design and performance of perovskite solar cells by targeting areas where conductivity is less efficient?.

nanoTHz-TDS is essential for novel energy materials as it enables precise analysis of charge transport and conductivity at the nanoscale, crucial for optimizing performance in advanced energy devices.

This measurement was realized with the THz-neaSCOPE+s.


Enhanced Perovskite Phonon Polaritons Ir neaSCOPE+s

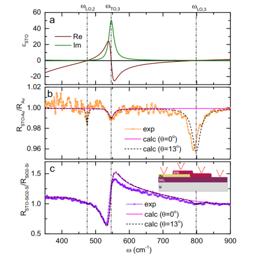
Enhanced Perovskite Phonon Polaritons

This research focuses on strontium titanate (SrTiO3) perovskite membranes, crucial for their potential to enhance infrared photonics through their ability to support highly confined surface phonon polaritons. Key findings include the experimental observation of mode splitting in 100 nm thick membranes, demonstrating epsilon-near-zero modes and significant phonon polariton confinement. The near-field amplitude and phase variations of surface phonon polaritons in SrTiO3 perovskite membranes illustrate their spatial dynamics and enhanced propagation characteristics, with a focused analysis on confinement and dispersion properties at specific frequencies like 590 cm-1. Measuring down to 400 cm-1 was crucial to capture the full spectral response of the SrTiO3 membranes.

The s-SNOM findings on these perovskite materials have broad applications in sensing, optical switching, and nonlinear optics. The ability to manipulate light on nanoscales using SrTiO3 perovskite membranes enables the development of efficient nanoscale optical devices.

This measurement was realized with the IR-neaSCOPE+s.


Non Aqueous Lithium–Air Cells IR neaSCOPE+s

Non-Aqueous Lithium–Air Cells

Metal–air batteries, such as Li–air, may be the key for large-scale energy storage as they have the highest energy density among all electrochemical devices. However, these devices suffer from irreversible side reactions leading to battery failure, especially when ambient air is used as the O2 source. This study uses nano-FTIR to track the chemical composition changes at the nanoscale of electrode surface during cell discharge. The results obtained here open an instructive operando chemical analysis of the Li–Air battery development. The authors observed a high sensitivity to humidity and CO2 in atmospheric conditions, and that the interaction between DMSO and carbon nanotubes (CNT) generates formate species. From 140 s of operation, the DMSO presented a low decomposition rate that remained the same until the end of the discharge.

nano-FTIR is an important tool to study complex discharge processes typically found in conversion batteries, as the case studied here for Lithium–Air.

This measurement was realized with the IR-neaSCOPE+s.


High efficient Organic Photovoltaics IR neaSCOPE

High-efficient Organic Photovoltaics

In organic photovoltaics, morphological control of donor and acceptor domains on the nanoscale is the key for enabling efficient exciton diffusion and dissociation, carrier transport and suppression of recombination losses. This publication demonstrates a double-fibril network based on a ternary donor–acceptor morphology with multi-length scales constructed by combining ancillary conjugated polymer crystallizers and a non-fullerene acceptor filament assembly. Essential for this study was the nanoscale infrared image of double-fibril network PM6/L8-BO with strong IR contrast  at 1648/1532 cm-1. In addition, the line profiles across the image was used to estimate a fibril diameter of 22.1 and 22.6 nm for acceptor and donor fibrils concluding that the volume of the mixing domain is low, resulting in low geminate recombination and a high fill factor.

To summarize, double-fibril network morphology strategy minimizes losses and maximizes the power output, offering the possibility of 20% power conversion efficiencies in single-junction organic photovoltaics.

This measurement was realized with the IR-neaSCOPE.


Solid State Battery IR neaSCOPE+s

Solid-State Battery

Solid-state batteries possess the potential to significantly impact energy storage industries by enabling diverse benefits, such as increased safety and energy density. However, challenges persist with physicochemical properties and processes at electrode/electrolyte interfaces. Thus, there is great need to characterize such interfaces in situ and unveil scientific understanding that catalyzes engineering solutions. In this study, the authors conduct multiscale in situ microscopies (optical, atomic force, and infrared near-field) and nano-FTIR of intact and electrochemically operational graphene/solid polymer electrolyte interfaces. They find nanoscale structural and chemical heterogeneities intrinsic to the solid polymer electrolyte initiate a cascade of additional interfacial nanoscale heterogeneities during Li plating and stripping; including Li-ion conductivity, electrolyte decomposition, and interphase formation.

nano-FTIR applies to buried interfaces and interphases in their native environment and  readily adaptable to a number of other electrochemical systems and battery chemistries.

This measurement was realized with the IR-neaSCOPE+s.


Organic Semiconductors IR neaSCOPE+s

Organic Semiconductors

Semiconductors based on organic polymers have several advantages over their conventional, mostly silicon-based cousins. They are simpler and cheaper to manufacture, and can be produced in the form of thin, flexible layers, which allows them to be attached to diverse substrates and surfaces. Their electrical conductivity and energy efficiency are a function of the properties of the materials of which they are made. This degree of molecular order affects the mobility and transport of the charge carriers within them. Up until now, it has been very difficult to access these structures experimentally. s-SNOM and nano-FTIR make a valuable contribution to our understanding of these layered systems and to organic electronics in general.

s-SNOM & nano-FTIR is ideally suited for monitoring and optimize growth parameters to get highly ordered organic films and thus faster devices with crucial impact in development of optoelectronic devices such as OLED technology, or organic solar cells.

This measurement was realized with the IR-neaSCOPE+s.


Flexible Organic Photovoltaics IR neaSCOPE

Flexible Organic Photovoltaics

Organic photovoltaics hold great potential for cost-effective, sustainable and flexible devices production. On the other side, organic semiconductor films are semicrystalline material with energetic disorder, inefficient carrier transport and high energy loss. Several studies focused on morphology strategy proposed the development of better suited phase separation to improved structure order, facilitate efficient transport and suppress trap states. This report uses tapping AFM-IR+ to map mixtures of organic photovoltaic blends and fine-tune the material morphology and crystallization. The Authors concludes that mixtures of blends with structural similarity but with different electronic properties exhibit significant improvement of high-crystallinity, fibrillar morphology and even shows enhancement in performance.

In contrast to electrons, IR photons extends the structural investigation beyond the top atomic layer complementing current nanoscale investigation methodology. Therefore, the IR-based investigation methods (AFM-IR, s-SNOM and nano-FTIR) can be also applied to other thin-film materials, e.g. sensors, electronic equipments or semiconductor devices.

This measurement was realized with the IR-neaSCOPE.